California crosses 10 GW utility-battery storage threshold
The California Independent System Operator (CAISO), who manages about 80% of California’s electricity, has connected 10.219 GW of utility scale energy storage to its managed power grid as of the first day of October this year.
The data was released as part of the ISO’s Key Statistics report for September 2024. The 10.2 GW value was a 0.9 GW increase from August’s 9.3 GW on the grid, and a greater than 3 GW jump from the 7.1 GW that was connected as of the state of 2024.
Little over five months ago, ESS News published details of California crossing the 10 GW battery storage threshold, tallying up utility, residential, and C&I batteries. At the time, utility-scale capacity on May 1, 2024, was around 8.4 GW, according to the ISO’s Key Statistics report. Now, the state has crosses 10 GW just in utility-battery sizing.

In the month following energy storage capacity records being set, there are now battery use records being set. According to Gridstatus.io’s record page, CAISO has set multiple battery charge and discharge records in the six days prior to this article being written.
In general, September has the highest evening demand period on California’s grid. Historically, California has built its future projections and procurement goals based upon the September grid peak.
It was on September 24, of 2023 that CAISO ended the summer with a battery peak with 5.22 GW discharge period, a value which held until January of this year.

In April of this year, the California’s Governor’s Office put out a report that the state as a whole – including utility and distributed storage – had passed 10 GW of total capacity. At that time, the report noted a total of 8.7 GW of utility scale storage. Since this time, residential solar energy storage attachment rates have significantly increased.
Per the U.S. Department of Energy’s Energy Information Administration’s (EIA) most recent 860M report, the state of California has 177 GW of energy storage across over 1,700 projects, in its queue through 2030.

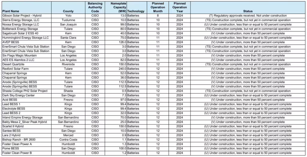
For the period of October through and including December of 2024, there are 31 energy storage projects in the 860M queue, totaling just over 1.9 GW of capacity. All of the projects are listed as under construction.
For the nation as a whole, as battery cell prices plummet, energy storage installations are booming today – with gigawatt hour plant announcements regularly, while the future power grid is projected to lean heavily on solar-plus-storage facilities.
From pv magazine USA.